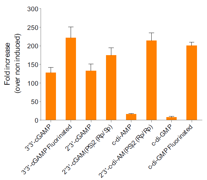
Filters Category Show all Activators AhR Ligands ALPK1 Ligands Antibiotics Contamination Antibiotics Selection Antibodies Cell Lines Cloning Vectors CLR Ligands Contamination Detection Kits Custom Services E coli Competents Cells Gene Vectors Inflammasome Ligands Inhibitors LDH Assay Lumikine Kits MultiPRR Ligands NOD Ligands pFUSE Vectors Promoter Vectors Proteins Reporter Detection Reagents Reporter Detection Vectors RepTor Antibiotics RLR and CDS Ligands (-) STING Ligands TLR2 Ligands TLR3 Ligands TLR4 Ligands TLR5 Ligands TLR9 Ligands TLR78 Ligands TLRNOD Kits Ligands Transfection reagents Vaccination Source Synthetic Search : 17 result #STING Ligands 2’3’-cGAM(PS)2 (Rp/Sp) - STING Agonist Bisphosphorothioate analog of 2'3'-cGAMP, (Rp/Sp) cyclic [G(2’,5’)psA(3’,5’)ps] #STING Ligands 3'3'-cGAMP Fluorinated - STING Agonist Difluoro 3'3'-cGAMP, cyclic [FdG(3’,5’)pFdA(3’,5’)p] #STING Ligands 2'3'-cGAMP VacciGrade™ - STING-based Adjuvant Mammalian (non-canonical) CDN - Cyclic [G(2’,5’)pA(3’,5’)p] | Th1/Th2 response #STING Ligands 2'3'-cGAMP - STING Agonist Mammalian (non-canonical) CDN, cyclic [G(2’,5’)pA(3’,5’)p] #STING Ligands c-di-AMP VacciGrade™ - STING-based Adjuvant Cyclic diadenylate monophosphate | Th1/Th2 response #STING Ligands c-di-GMP VacciGrade™ - STING-based Adjuvant Cyclic diguanylate monophosphate | Th1/Th2 response #STING Ligands 3'3'-cGAMP - STING Agonist Bacterial (canonical) CDN, cyclic [G(3’,5’)pA(3’,5’)p] #STING Ligands ADU-S100 - STING Agonist Bisphosphorothioate analog of 2'3'-c-di-AMP, (Rp;Rp) cyclic [A(2’,5’)psA(3’,5’)ps] #STING Ligands c-di-GMP - STING Agonist Bacterial (canonical) CDN, cyclic [G(3’,5’)pG(3’,5’)p] #STING Ligands c-di-AMP - STING Agonist Bacterial (canonical) CDN, cyclic [A(3’,5’)pA(3’,5’)p] #STING Ligands c-di-GMP Fluorinated - STING Agonist Difluoro 3'3'-c-di-GMP, cyclic [FdG(3’,5’)pFdG(3’,5’)p] #STING Ligands 2'3'-cGAMP Control - STING Agonist Negative Control 2'3'-cGAMP negative control #STING Ligands diABZI (compound 3) - Non-nucleotide-based STING Agonist #STING Ligands STG-982 (maleimide) and STG-968 (azido) - Conjugatable STING Ligands Conjugatable cyclic dinucleotides #STING Ligands cAIM(PS)2 Difluor (Rp/Sp) (CL656) - STING Agonist cAIMP bisphosphorothioate and difluorinated #STING Ligands cAIMP Difluor (CL614) - STING Agonist cAIMP difluorinated #STING Ligands cAIMP (CL592) - STING Agonist Cyclic (adenine monophosphate- inosine monophosphate)
#STING Ligands 2’3’-cGAM(PS)2 (Rp/Sp) - STING Agonist Bisphosphorothioate analog of 2'3'-cGAMP, (Rp/Sp) cyclic [G(2’,5’)psA(3’,5’)ps]
#STING Ligands 3'3'-cGAMP Fluorinated - STING Agonist Difluoro 3'3'-cGAMP, cyclic [FdG(3’,5’)pFdA(3’,5’)p]
#STING Ligands 2'3'-cGAMP VacciGrade™ - STING-based Adjuvant Mammalian (non-canonical) CDN - Cyclic [G(2’,5’)pA(3’,5’)p] | Th1/Th2 response
#STING Ligands c-di-AMP VacciGrade™ - STING-based Adjuvant Cyclic diadenylate monophosphate | Th1/Th2 response
#STING Ligands c-di-GMP VacciGrade™ - STING-based Adjuvant Cyclic diguanylate monophosphate | Th1/Th2 response
#STING Ligands ADU-S100 - STING Agonist Bisphosphorothioate analog of 2'3'-c-di-AMP, (Rp;Rp) cyclic [A(2’,5’)psA(3’,5’)ps]
#STING Ligands c-di-GMP Fluorinated - STING Agonist Difluoro 3'3'-c-di-GMP, cyclic [FdG(3’,5’)pFdG(3’,5’)p]
#STING Ligands STG-982 (maleimide) and STG-968 (azido) - Conjugatable STING Ligands Conjugatable cyclic dinucleotides
#STING Ligands cAIM(PS)2 Difluor (Rp/Sp) (CL656) - STING Agonist cAIMP bisphosphorothioate and difluorinated