NF-κB and ISG Dual Reporter THP-1 Cells - THP1-Dual™ Cells

NF-κB-SEAP and IRF-Lucia reporter monocytes

ABOUT

NF-κB–SEAP and IRF–Lucia reporter human monocytes

THP1-Dual™ cells were derived from the human THP-1 monocyte cell line by stable integration of two inducible reporter constructs.

As a result, THP1-Dual™ cells allow the simultaneous study of the NF-κB pathway, by monitoring the activity of SEAP, and the IRF pathway, by assessing the activity of a secreted luciferase, Lucia luciferase.

Both reporter proteins are readily measurable in the cell culture supernatant when using QUANTI-Blue™ Solution, a SEAP detection reagent, and QUANTI-Luc™ 4 Lucia/Gaussia, a Lucia and Gaussia luciferase detection reagent.

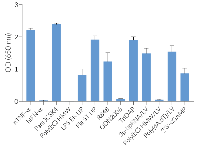
THP1-Dual™ cells induce the activation of NF-κB in response to certain TLR agonists, such as Pam3CSK4 and flagellin. They trigger the IRF pathway upon stimulation with type I IFNs and RLR or CDS agonists, such as transfected dsRNA.

THP1-Dual™ cells are resistant to the selectable markers Zeocin® and blasticidin.

Disclaimer:  These cells are for internal research use only and are covered by a Limited Use License (See Terms and Conditions). Additional rights may be available.

SPECIFICATIONS

Specifications

Tested applications

Screening of PRR agonists or inhibitors

Cell type
Monocytic
Growth properties
Suspension
Tissue origin
Human monocytes
Reporter gene
SEAP
Lucia®
Antibiotic resistance
Zeocin®
Blasticidin
Growth medium

Complete RPMI 1640 (see TDS)

Mycoplasma-free

Verified using PlasmotestTM

Quality control

Each lot is functionally tested and validated.

CONTENTS

Contents

  • Product: 
    THP1-Dual™ Cells
  • Cat code: 
    thpd-nfis
  • Quantity: 
    3-7 x 10^6 cells
Includes:
  • 1 ml of Normocin™ (50 mg/ml)
  • 1 ml of Zeocin® (100 mg/ml)
  • 1 ml of Blasticidin (10 mg/ml)
  • 1 tube of QUANTI-Luc™ 4 Reagent
  • 1 ml of QB reagent and 1 ml of QB buffer
Notes:

See Technical Data sheet for storage information

Shipping & Storage

  • Shipping method:  Dry ice
  • Storage:

    • Liquid nitrogen vapor
    Stability: 20 passages

    Caution:

    • Avoid repeated freeze-thaw cycles

Description

THP1-Dual™ cells feature the Lucia gene, a secreted luciferase reporter gene, under the control of an ISG54 minimal promoter in conjunction with five IFN-stimulated response elements.

 THP1-Dual™ cells also express a secreted embryonic alkaline phosphatase (SEAP) reporter gene driven by an IFN-β minimal promoter fused to five copies of the NF-κB consensus transcriptional response element and three copies of the c-Rel binding site. 

As a result, THP1-Dual™ cells allow the simultaneous study of the NF-κB pathway, by monitoring the activity of SEAP, and the IRF pathway, by assessing the activity of Lucia luciferase.

DOCUMENTS

Documents

THP1-Dual™ Cells

Technical Data Sheet

Safety Data Sheet

Validation Data Sheet

Certificate of analysis

Need a CoA ?

CUSTOMER SERVICE & TECHNICAL SUPPORT

Question about this product ?