NF-κB Reporter THP-1 Cells (SEAP)

NF-κB-SEAP reporter monocytes

ABOUT

NF-κB–SEAP Reporter Monocytes

THP1-Blue™ NF-κB cells were specifically designed for monitoring the NF-κB signal transduction pathway in a physiologically relevant cell line. THP1-Blue™ cells were derived from the human THP-1 monocyte cell line by stable integration of an NF-κB-inducible SEAP reporter construct.

As a result, THP1-Blue™ NF-κB cells allow the monitoring of NF-κB activation by assessing the activity of SEAP (secreted embryonic alkaline phosphatase). The level of NF-κB-induced SEAP in the cell culture supernatant is readily assessed with QUANTI-Blue™, a SEAP detection reagent.

 

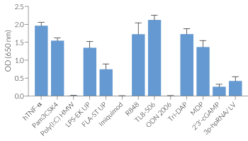
THP-1 cells endogenously express many pattern-recognition receptors (PRRs), including Toll-like receptors (TLRs), the stimulator of interferon genes (STING), and RIG-I-like receptors (RLR). Therefore, THP1-Blue™ NF-κB cells are highly responsive to PRR agonists that trigger the NF-κB pathway (see figure).

 

Key features

  • Functionally validated with a selection of PRR ligands and cytokines
  • Readily assessable NF-κB activation by assessing the SEAP activity

 

Note: A new clone is provided with an improved reporter/background signal ratio. The cat code has been changed accordingly (thp-nfkbv2).

Disclaimer:  These cells are for internal research use only and are covered by a Limited Use License (See Terms and Conditions). Additional rights may be available.

SPECIFICATIONS

Specifications

Species
Human
Tested applications

Screening of PRR agonists or inhibitors

Cell type
Monocytic
Growth properties
Suspension
Tissue origin
Human monocytes
Reporter gene
SEAP
Detection method
Colorimetric
Antibiotic resistance
Zeocin®
Growth medium

Complete RPMI 1640 (see TDS)

Mycoplasma-free

Verified using PlasmotestTM.

Quality control

Each lot is functionally tested and validated.

CONTENTS

Contents

  • Product: 
    THP1-Blue™ NF-κB Cells
  • Cat code: 
    thp-nfkbv2
  • Quantity: 
    3-7 x 10^6 cells
Includes:
  • 1 ml of Normocin® (50 mg/ml)
  • 1 ml of Zeocin® (100 mg/ml)
  • 1 ml of QB reagent and 1 ml of QB buffer (SEAP detection reagent)

Shipping & Storage

  • Shipping method:  Dry ice
  • Storage:

    • Liquid nitrogen
    Stability: 20 passages

    Caution:

    • Avoid repeated freeze-thaw cycles

DOCUMENTS

Documents

THP1-Blue™ NF-κB Cells

Technical Data Sheet

Safety Data Sheet

Validation Data Sheet

Certificate of analysis

Need a CoA ?

CUSTOMER SERVICE & TECHNICAL SUPPORT

Question about this product ?