CL401 VacciGrade™
-
Cat.code:
vac-c401-5
- Documents
ABOUT
Dual TLR2 & TLR7 agonist
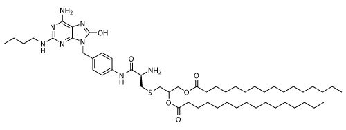
CL401 is a chimeric molecule that co-activates the surface receptor TLR2 and the endosomal receptor TLR7. It is composed of 8-hydroxyadenine (TLR7 ligand) conjugated to Pam2C (TLR2 ligand).
This chimeric compound displays strong adjuvant activity. In mice, administration of OVA with CL401 leads to a significant increase of anti-OVA IgG titers in sera. The predominant IgG subclass is IgG1, a Th2-associated isotype. The IgG2a subclass, a Th1-associated isotype, is also significantly increased resulting in a decreased IgG1/IgG2a ratio.
CL401 VacciGrade™ is a high-quality pre-clinical grade.
All products are for research use only, and not for human or veterinary use.
VacciGrade™
VacciGrade™ is a high-quality pre-clinical grade, suitable for in vivo studies. VacciGrade™ products are filter-sterilized (0.2 µm) and filled under strict aseptic conditions in a clean room. The absence of bacterial contamination is assessed by a sterility test using a pharmacopeia-derived assay.
SPECIFICATIONS
Specifications
Polarization of adaptive immune response: Th1 & Th2 responses
C54H92N8O4S
20 - 50 µg/mouse
20 mg/ml in DMSO
Sterility guaranteed
Each lot is functionally tested and validated using cellular assays.
CONTENTS
Contents
-
Product:CL401 VacciGrade™
-
Cat code:vac-c401-5
-
Quantity:5 mg
10 ml sterile endotoxin-free physiological water (NaCl 0.9%)
Shipping & Storage
- Shipping method: Room temperature
- 4 °C
- Do not store in plastic tubes
Storage:
Caution:
Details
Checmical structure of CL401:

InvivoGen has developed a series of novel molecules designed to induce potent immune responses through the combined activation of several pattern recognition receptors (PRRs) that trigger different innate immune signaling pathways.
These molecules are agonists for TLR2, TLR7 or both. Agonists that activate TLR2 are derived from the well-established TLR2 ligand, Pam2CSK4, and those recognized by TLR7 are derived from the 8-hydroxyadenine derivative CL264, a TLR7 agonist recently developed by InvivoGen.
TLR2 and TLR7 are two PRRs with distinct characteristics. TLR2 is a cell surface receptor expressed by many cell types, while TLR7 is an endosomal receptor expressed predominantly in plasmacytoid dendritic cells (pDC) and to a lesser extent in B cells.
TLR2 signaling triggers the NF-kB pathway and the production of pro-inflammatory cytokines, such as TNF-α, whereas TLR7 signaling induces mainly the IRF pathway and the production of IFN-α.
DOCUMENTS
Documents
Technical Data Sheet
Safety Data Sheet
Certificate of analysis
Need a CoA ?